black leather emulsion fx

Read This Also
synthesis of a water polyurethane emulsion with high solid content low viscosity via core shell method sciencedirect
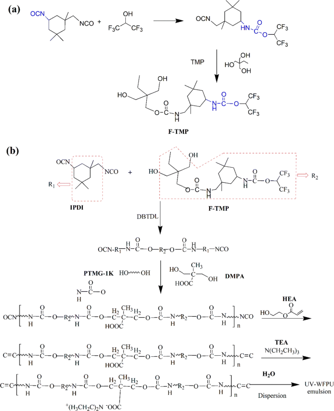
design and preparation of uv curable waterborne polyurethane based on novel fluorinated chain extender springerlink
polymers free full text optimization of waterborne poly urethane acrylate nanoemulsions based on cationic polymerizable macrosurfactants with different hydrophobic side chain length html
preparation of polyacrylamide via dispersion polymerization with gelatin as a stabilizer and its synergistic effect on organic dye flocculation qiu 2018 journal of applied polymer science wiley online library
nikon announces nikkor z 28mm f2 8 se and development of z dx 18 140mm f3 5 6 3 vr digital photography review
preparation and properties of a novel waterborne fluorinated polyurethane acrylate hybrid emulsion modified by long aliphatic chains springerlink
sony reveals cyber shot dsc rx100 vii super compact with 90 fps bursts and mic socket digital photography review
preparation of polyacrylamide via dispersion polymerization with gelatin as a stabilizer and its synergistic effect on organic dye flocculation qiu 2018 journal of applied polymer science wiley online library
preparation of polyacrylamide via dispersion polymerization with gelatin as a stabilizer and its synergistic effect on organic dye flocculation qiu 2018 journal of applied polymer science wiley online library


























